本站第一空间:www.hujh.net

本站第二空间:www.hujh.cn

 本空间浏览页次统计: 15211841

   首页   普及六艺   诗以言志   歌以抒情   论以道义   文以记趣   书以表意   画以展美  

《六艺庆世博》系列讲座

  网络诗集   网络歌集   网络文集   网络讲座   网络教歌   网络视频   向明老三届全名录

中国骏转论坛

      电脑速成教学法   电脑概述   视窗操作   中文输入   文档制作   网络应用   网站制作   数据处理   演示制作

中国军网胡教员博客

    基层文化工作教学  概述  歌咏的组织  假日活动的组织  晚会的组织  竞赛的组织  网络活动的组织

学术研究:互联网共产主义宣言

 

 

 

 

 

用歌咏来记熟八荣八耻

——《八荣八耻是标志》歌曲创作谈

胡金海

看到胡锦涛同志关于八荣八耻讲话的第一天,我就想写个八荣八耻的歌曲。通过歌咏这种方式,可以帮助人们记熟八荣八耻的内容。红军时期毛泽东为我军制订三大纪律八项注意,就有三大纪律八项注意歌。这歌后来成了人民军队的标志性音乐,同时也为军人记熟纪律、遵守纪律奠定了基础。

记熟纪律是遵守纪律的前提。中国现今党员干部遵守党纪没有中国军人遵守军纪做得好。同样都是党组织在教育,为什么军人可以做得更好?一个重要原因,就是三大纪律八项注意歌让中国军人的纪律为全国军民所熟知。中国旧军队有“白吃白拿”的情况,但从红军开始,老百姓都知道人民军队“不拿群众一针一线”的纪律。尽管现在还有人对腐败干部“白吃白拿”敢怒不敢言。但如今若有个军人要到社会上去“白吃白拿”,一定会有人给他说“你这是违反军人纪律的”。人们对军队纪律实在太熟悉了,军人要违反纪律,谁都会一眼看清。

胡锦涛同志提出“八荣八耻”是带有很强政策性的讲话。胡主席用“以……为荣”和“以……为耻”这样的句式来表达,既符合首长身份,语气很冷静,政策性很强。歌词语言是一种口头文学。群众演唱的口头文学和领导人讲话,在特点上和语气上是可以有些区别的。艺术的特点就是“没有情感就没有艺术”。群众在演唱“八荣八耻”时可加进一些感情因素。在为八荣八耻编词时,我在完整保持首长讲话原意基础上运用句式变化,加上了一个富于感情色彩的语气词“很”。如首长讲话是“以热爱祖国为荣”,唱词为“热爱祖国很光荣”。有了这个“很”字,既表达出了演唱者演唱时的情感特点,也表达出了群众对领导的热爱之情,在反复运用这个“很”字的过程中,群众获得了较多的感情表达机会。成为演唱过程激情递进时源源不断的加油站。从演唱实践时的感觉来看,这个“很”字的运用起到了比较明显的加强情感表达的作用。

歌曲作为艺术作品,创作时应遵循一定的艺术特点和规律。除情感性特点,歌曲还应有点形象性、美感性。过去李劫夫写毛主席语录歌曲调创作技巧很高,但歌词全部都由政治语言组成,不符合歌曲创作的一般规律。我在《八荣八耻是标志》歌曲开始加了两句形象描写“阳春三月绽新枝,晴空万里有红日”。用这两句环境描写来比喻群众听到“八荣八耻”讲话时的一种心情,也隐写了当今中国社会大环境的形象。在形象描写前提下引出“人间是非分得清,八荣八耻是标志”这两句过渡语,接下来继续演唱八荣八耻内容,不仅仅是重复首长的语言,而是带有群众自己倾向性的口头文学语言。

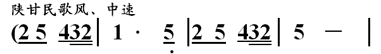
在创作这首歌曲调前,我想到胡锦涛同志当年在甘肃等地工作情景,想到水库工地上劳动热火朝天的场面……我想,应该用陕甘地区民歌旋律来写这首歌曲。结果几乎是一口气完成了这个曲调的创作。下面谈谈歌曲的曲调创作的具体思维过程。歌曲全曲以2(来)为主音,结束音在2音上,即2调式。全曲四个乐句,共十六小节三十二拍。前奏另有两个乐句,共八拍。

前奏第一句:

这是一段劳动场面的抒情描写,曲调显得优美和明快。好像有欢乐的唢呐在欢唱。我的眼前出现了千军万马在工地上开展劳动的热烈的场面。在这劳动大军中,我仿佛看到了胡锦涛总书记的英姿。第一拍25这个四度开始音,是这首歌曲中最重要的音乐动机。在前奏八个小节中有三小节是用这个音型开始的。

前奏第二句:

第二句前奏是第一句前奏的一个发展。前奏第一句还不能确定这个2就是这首歌曲的主音。通过前奏第二句,有经验的人可以感觉到2的主音地位已经确立了。预示着这首歌曲的其它各种音,都将围绕着2音来展开。尤其是前奏第八小节2音延长为两拍,奠定了2音的主音地位。

第一乐句:

第一乐句是用25音型开始,并且进行了一个重复,这在前奏中已经进行了预示。接着就下行到低音6后,紧接一个七度大跳,从低音6到中音5,出现近似扭秧歌似的53音型的重复,接着回到主音2。从这第一乐句,可感受到这是一首欢乐的乐曲,甚至可以载歌载舞地进行演唱。每年三月都有春风浩荡,今年三月的“八荣八耻”讲话是个值得中国社会载歌载舞的重大事件。秧歌扭起来啊,欢庆“八荣八耻”的提出!我眼前出现了基层官兵和群众一起欢唱、欢跳和欢乐的场面。

第二乐句:

第二乐句按照起承转合的结构要求,这是承句。必须承继第一乐句形成的乐思来进行。第二乐句完全模进了第一乐句的节奏。第二乐句从第一乐句结束时的2音下方四度低音6开始,接连两个62,更加强了秧歌舞的效果。但第二句完全在低音区盘旋,在第二乐句的第四小节,旋律进行到了全曲的最低音2。我感觉,这首歌把八荣八耻这样截然对立的重大内容排比在一起进行表现,需要具有极强震撼力,应该让音乐跨越更大的幅度来进行表现。所以,我大胆让音乐下行到低音2。

第三乐句:

在第二乐句探底之后,必须有一个有力度的反弹。第三乐句上来就对第二乐句的结束进行了一个高八度大跳,从低音2大跳到中音2。接着乐句中间出现一个舒展为两拍的主音上方四度音5,这是跳跃的乐曲中唯一在乐句中间而不是乐句结尾出现的长音,特别富于抒情意味。第三乐句的第三小节,是第二乐句最后两小节的高八度重复,这里出现了全曲最高音6,这样,有了长音5和最高音6的出现,第三乐句的转折被表现得比较充分了。第一乐句和第二乐句在歌词上密度也较高,都是八拍唱十个字。而第三乐句歌词密度也转为宽松,八拍仅唱七个字。在第三乐句中歌曲会获得一种宽广而舒展的感觉。

第四乐句:

这是最后一个乐句,全曲到这里要结束。这一句比较难唱,如果把握不好,往往会在这里出现跑调现象。但把握好了,最有味道到就在这一句。第四乐句一开始出现的是第三乐句结尾的一个下方六度音——低音4。如不熟悉陕甘民歌,这样的下降六度很不容易唱准。两个45的重复,继续保持了秧歌舞的节奏。最后的两小节旋律,是第三乐句最后两小节低八度重复。这首很短的歌曲中,旋律上非常大胆地两次运用高低八度的旋律重复。这是根据歌词的特殊内容来设计的。形成了这首歌曲曲调上又一个特点。我在旋律创作开始就有个基本思路:根据歌词内容是光荣和可耻的八个强烈对比,在旋律上处理要大胆。

我对歌曲和旋分配,采用第一第三乐句以大三和旋为主,第二第四乐句以小三和旋为主。这不仅是从主旋律出发作这样的安排,更是从内容出发!第一第三乐句是歌唱光荣,用明亮、雄壮的大三和旋显得理直气壮,第二第四乐句是批评可耻现象,用柔和的小三和旋,在批判中带有一点耐心与平和的色彩。这首歌曲表现的内容主要还是道德规劝性质,而不是战争题材的歌曲。

                          (2005年3月24日)

荣辱观歌曲目录

听唱

降调学谱 原调学谱

降调唱谱 原调唱谱

降调学词 原调学词

降调唱词 原调唱词

降调伴奏 原调伴奏

 

=============

胡金海近期演唱的歌曲

讲台

八荣八耻人人须知

八荣八耻歌

从我做起

和谐社会树新风

荣辱记心间

一条大路迎春风

八荣八耻是标志

时代先锋向前走

秋日私语

舒伯特-小夜曲

茫茫大草原

当那一天来临

神圣使命

当你的秀发拂过我的钢枪

人人上网歌

孤独的手风琴

上海民歌——欢庆结婚

友谊地久天长

海港之夜

遥远的地方

多年以前

马赛曲

当歌唱的时候

中国少年先锋队队歌

窑洞里

有一首颂歌就在心中

走进新时代

当兵的人